
1. 단급법 : 전 임분을 1개의 급으로 취급하여 단 1개의 표준목을 선정하는 방법
2. Draudt 법 : 각 직경급의 본수에 따라 비례해서 배분하는 방법

(V : 전체임분의 재적, v : 표준목의 재적, N : 전임분의 임목, n : 표준목의 수)
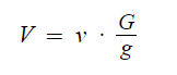
3. Urich 법 : 각 계급의 본수를 동일하게 한 다음 각 계급에서 같은 수의 표준목을 선정

(V : 전체임분의 재적, v : 표준목의 재적합계, G : 임분의 흉고단면적 합계, g : 표준목의 흉고단면적 합계)
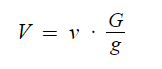
4. Hartig 법 : 각 계급의 흉고단면적을 동일하게 하는 방법

(V : 전체임분의 재적, vn : 표준목의 재적합계, G : 임분의 흉고단면적 합계, g : 표준목의 흉고단면적 합계)
임분재적을 통계학적 방법으로 표본을 추출하여 조사하는 것.
1. 표본추출간격

(d : 표본점 추출간격, A : 전조사 대상면적, n : 표본점 추출개수)
2. 표본점 추출개수 구하는 공식

(n : 표본점수, c : 변이계수, A : 조사면적, e : 추정오차율, a : 표본점 면적)
임분 안에서 일정한 면적의 임지를 선정하여 그 재적을 조사 후 면적비율에 의해 전체 임분의 재적을 구하는 방법
1. 각산정표준지법
V = G x H x F = k x n x H x F
(k : 단면적개수, n : 임목본수, H : 평균수고, F : 임분형수)