CODEKILLER

반응형

Heyer식에 의한 표준벌채량, 헤론공식 면적산출법
Heyer식에 의한 표준벌채량, 헤론공식 면적산출법

Heyer 식에 의한 표준벌채량

표준벌채량(Heyer식)
표준벌채량(Heyer식)

(Ya : 표준벌채량, c : 조정계수, lr : 임분의 평균생장량, Va : 현실축적, Vn : 법정축적, a : 갱정기)

문제) 평균생장량 10 m³, 현실축적 350 m³, 법정축적 450 m³, 조정계수 0.7일 때 heyer 식에 의한 표준벌채량을 구하시오(갱정기는 20년)

정답) 표준벌채량 = 0.7 x 10 + (350-450)/20 = 2

헤론공식을 이용한 면적산출법

헤론공식
헤론공식
헤론공식
헤론공식

문제) 삼각형 세 변이 각각 16cm, 18cm, 22cm 일 때 헤론공식으로 면적산출하시오.

정답) 141.99 cm²

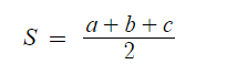
s = (16 + 18 + 22) / 2 = 28

헤론공식 - s 구하기
헤론공식 - s 구하기
헤론공식 풀이
헤론공식 풀이

 

반응형

공유하기

facebook twitter kakaoTalk kakaostory naver band