

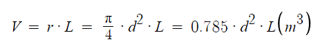
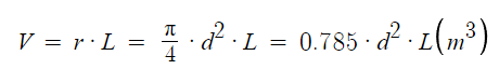
(r : 중앙단면적, L : 길이, d : 중앙지름)
문제) 중앙직경 0.4m, 길이 10m일 경우 후버식으로 재적을 구하시오
정답) 0.785 x 0.4² x 10 = 1256m³

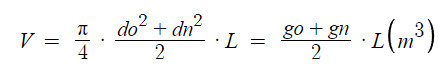
(do : 원구지름, dn : 말구지름, L : 길이, go : 원구단면적, gn : 말구단면적)
문제) 원구직경 20cm, 말구직경 12cm, 길이 6m인 통나무 재적을 스말리안식으로 구하시오
정답) 0.785 x (0.2² + 0.12² )/2 x 6 = 0.785 x (0.04 + 0.0144 )/2 x 6 = 0.128m ³

(r : 중앙단면적, L : 길이, go : 원구단면적, gn : 말구단면적)
1. 6m 미만

2. 6m 이상

(dn : cm로 측정한 말구지름, L : m로 측정한 길이, L' : m 단위의 통나무 길이로 1 미만의 숫자를 끊어버린 수(7.6m -> 7m)