CODEKILLER

반응형

임목재적(형수법), 형수와 주요인자와의 관계
임목재적(형수법), 형수와 주요인자와의 관계

형수법

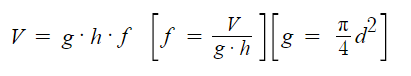
직경과 높이가 같은 원주체적과 수간의 재적비를 형수(수간재적/원주체적)라고 하며, 이 기준직경을 가슴높이에서 취한 것을 흉고형수라 함.

 

임목재적측정 - 형수법
임목재적측정 - 형수법

(f : 형수, g : 단면적, gxh : 원주의 부피)

 

문제) 흉고단면적 20m²/ha, 수고 15m, 흉고형수 0.5일 때의 재적을 구하시오

정답) 20 x 15 x 0.5 = 150(m³/ha)

형수와 주요인자 관계

1. 지위가 양호할수록 흉고형수는 작다

2. 수관밀도가 밀할수록, 성장이 좋을수록 형수는 크다.

3. 지하고가 높고 수관량이 적은 나무일수록 형수는 크다.

4. 수고가 높을수록, 직경이 클수록 형수는 작다.

5. 연령이 많을수록 커지나 벌기령에 달할수록 형수는 거의 일정하다.

표준목 재적을 산출하는데 필요한 주요인자

1. 흉고직경 : 흉고단면적법, 산출평균직경법, 와이제이법

2. 수고 : 수고곡선법 이용

3. 흉고형수 : 형수표 이용

반응형

공유하기

facebook twitter kakaoTalk kakaostory naver band