

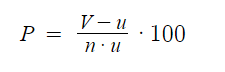
(P : 생장률, V : 현재의 재적, u : n 년 전의 재적, n : 기간연수)
문제) 1990년도 재적이 150m³, 2000년도 재적이 250 m³ 일 때 단리산에 의한 성장률은?
정답) 6.7%

※ 정기평균생장량 = (V - u) / n
(V : V년생재적, u : u년생 재적, n : 기간(V년 - u 년)
문제) 50년 벌기일 때 생장량 100 m³, 40년일 때 86 m³이다. 정기평균생장량은?
정답) (100-86)/10 = 14/10 = 1.4 m³

(P : 생장률, V : 현재의 재적, u : n 년 전의 재적, n : 기간연수)
문제) 30년 된 소나무의 재적 80 m³, 35년일 때 100 m³ 일 경우 프레슬러공식에 의한 생장률?
정답) ((100-80)/(100+80)) x 200/5 = 4.44%

(P : 생장률, K : 상수(직경 30cm 미만 550, 30cm 이상 500), n : 나이테수, D : 흉고지름)
문제) 흉고직경 26, 연륜수 4일 때 임목생장률을 슈나이더 공식으로 계산하시오(상수 K = 550)
정답) P = 550/(4x26) = 5.288% = 5.29%