
총수익과 총비용이 같아지는 판매수준, 이익도 손실도 없는 판매시점을 손익분기점이라 한다.

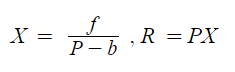
(X : 판매량, f : 고정비용, P : 단위당 판매가격, b : 단위당 가변비용, R : 총수익)
문제) 묘목 생산회사에서 작년에 고정비 30만원, 변동비 70만원, 매상고 150만원 이었다. 작년도 손익분기점을 계산하시오.
판매량(X) = 3000,000 / (1,500,000 - 700,000) = 0.375
손익분기점(PX) = 1,500,000 X 0.375 = 562,500원