
1. 원가법 : 실제 원가의 누계를 평가액으로 하는 방법
2. 비용가법 : 임목을 m년생인 현재까지 육성하는데 소요된 순비용의 후가합계
(B: 임지가격, V: 관리비, P: 이율, C: 조림비, ∑Da: a 년도 간벌수입)

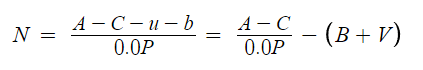
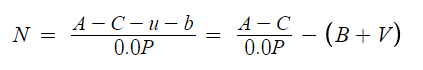
1. Glaser법
(Am: m년생의 임목가격, Co : 조림비원가, u : 표준벌기, Au : 표준벌기 때의 임목가격, m : 평가대상임목의 현재연령)

1. 임목기망가법 : 벌기에 가까운 임목의 평가

2. 수익환원법(택벌림)


(X: 단위재적당 임목가, A: 단위재적당 원목시장가, B: 벌목비, 운반비, 기타 비용일체, f: 조재율, m: 자본회수기간, p: 월이율, r: 기업이익률)
문제) 임목단위당 가격 12만원/m³, 벌목비 2만원/m³, 조재율 0.7, 회수기간 5개월, 월이율 2%, 기업이익률 10% 일 때 임목의 단위당 매매가를 구하시오.

정답) 56,000(원/m³)