
당해 임지에 일정한 사업을 영구적으로 실시한다고 가정할 때 토지에서 기대되는 순수익의 현재 합계액

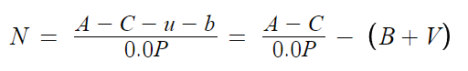
Au: 주벌수익, C: 조림비, u: 윤벌기, P: 이율, V: 관리비, Da1.0Pᵘ⁻ᵃ: a 년도 간벌수익의 u 년 때의 후가
문제) 30년 벌기일 때 주벌수익은 420만원, 간벌수익은 20년일 때 9만원, 25년일 때 36만원을 얻을 수 있고, 조림비는 ha당 30만원, 관리비는 1만2천원, 이율은 6% 일 때 임지기망가는?

정답) 457,720원
택벌림과 같이 연년수입이 있는 경우에 적용하는 방식

N: 임목축적평가액, A: 연간수익, C: 식재/무육비, v: 관리비, b: 지대, p: 실질임업이율