
- 산지사방, 해안사방, 야계사방, 조경사방, 예방사방
- 유속에 의한 방법 : 통수단면적(A), 즉 유적을 실측하고, 평균유속공식에 의한 평균유속(V)으로 유량(Q)을 산정하는 방법으로 유량이 많은 하천에 사용
Q = V x A(m³/sec)
문제) 유속 3m/sec, 횡단면적 5m²의 수로에 10초 동안 흐른 유량을 구하시오.
답) 1초당 유량(Q) = 5 x 3 = 15m³/sec, 따라서 10초 x 15 m³/sec = 150 m³/sec
1. 윤변(P) : 배수로의 횡단면에서 물과 접촉하는 배수로 주변의 길이
2. 경심(R) : 유적(A)을 윤변(P)으로 나눈 것
경심(R) = 유적(A) / 윤변(P)
1. Chezy 공식

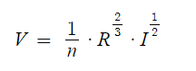
2. Manning 공식

3. Bazin 구식

4. Bazin 신식

[V : 평균유속(m/s), c:유속계수, R: 경심(A/P), A:유적, P:윤번, I : 수로의 기울기(%), n : 조도계수]
1. 시우량법
1시간 동안 내린 비가 1시간 후에 계획지점에서 최고수위가 된다는 가정

[Q : 1초 동안의 유량(m³/sec), K : 유거계수, a : 유역면적(m²), m : 최대시우량(mm/hr) ]
2. 비유량법
우량이나 유량의 관측자료가 적은 경우 비유량을 추정하는 것이 유리함

[Q : 최대홍수량(m³/s), q : 비유량(m³/s/km²), Q = 0.2778CI 값에 해당, A : 유역면적(km²) ]
3. 합리식법
어느 배수구역 내의 호우강도와 최대홍수유량 간의 관계를 나타내는 공식
Q = 0.002778CIA
[Q : 최대홍수량(m³/s), C : 유출계수, I : 최대시우량(mm/hr), A : 유역면적(ha) ]
4. 홍수위 흔적법
홍수 직후 유로를 조사하여 쓰레기, 표토침식 등의 위치에서 홍수위 추정
- 배수구의 통수단면은 100년 빈도 확률 강우량과 홍수 도달시간을 이용한 합리식으로 계산된 최대홍수 유출량의 1.2배 이상으로 설계하고, 수리계산과 현지여건을 감안하되, 기본적으로 100m 간격으로 설치하며 그 지름은 1000mm이상으로 한다.